Info
This site is generated using the static site generator developed by the Typst Community. Please adjust the text content of this banner according to your usage requirements. At Typst GmbH's request, when publishing documentation, you must clearly indicate that it is non-official and display the version of Typst being documented. For details, refer to Issue #874 on typst/typst.

Calculation

Module for calculations and processing of numeric values.

These definitions are part of the calc module and not imported by default. In addition to the functions listed below, the calc module also defines the constants pi, tau, e, and inf.

Function

abs

Calculates the absolute value of a numeric value.

#calc.abs(-5) \
#calc.abs(5pt - 2cm) \
#calc.abs(2fr) \
#calc.abs(decimal("-342.440"))
Preview

value
Required
Required
Required parameters must be specified when calling the function.
Positional
Positional
Positional parameters can be set by specifying them in order, omitting the parameter name.

The value whose absolute value to calculate.

pow

Raises a value to some exponent.

#calc.pow(2, 3) \
#calc.pow(decimal("2.5"), 2)
Preview

base
Required
Required
Required parameters must be specified when calling the function.
Positional
Positional
Positional parameters can be set by specifying them in order, omitting the parameter name.

The base of the power.

If this is a decimal, the exponent can only be an integer.

exponent
Required
Required
Required parameters must be specified when calling the function.
Positional
Positional
Positional parameters can be set by specifying them in order, omitting the parameter name.

The exponent of the power.

exp

Raises a value to some exponent of e.

#calc.exp(1)
Preview
calc.exp()->

exponent
Required
Required
Required parameters must be specified when calling the function.
Positional
Positional
Positional parameters can be set by specifying them in order, omitting the parameter name.

The exponent of the power.

sqrt

Calculates the square root of a number.

#calc.sqrt(16) \
#calc.sqrt(2.5)
Preview
calc.sqrt()->

value
Required
Required
Required parameters must be specified when calling the function.
Positional
Positional
Positional parameters can be set by specifying them in order, omitting the parameter name.

The number whose square root to calculate. Must be non-negative.

root

Calculates the real nth root of a number.

If the number is negative, then n must be odd.

#calc.root(16.0, 4) \
#calc.root(27.0, 3)
Preview
calc.root()->

radicand
Required
Required
Required parameters must be specified when calling the function.
Positional
Positional
Positional parameters can be set by specifying them in order, omitting the parameter name.

The expression to take the root of

index
Required
Required
Required parameters must be specified when calling the function.
Positional
Positional
Positional parameters can be set by specifying them in order, omitting the parameter name.

Which root of the radicand to take

sin

Calculates the sine of an angle.

When called with an integer or a float, they will be interpreted as radians.

#calc.sin(1.5) \
#calc.sin(90deg)
Preview
calc.sin()->

angle
Required
Required
Required parameters must be specified when calling the function.
Positional
Positional
Positional parameters can be set by specifying them in order, omitting the parameter name.

The angle whose sine to calculate.

cos

Calculates the cosine of an angle.

When called with an integer or a float, they will be interpreted as radians.

#calc.cos(1.5) \
#calc.cos(90deg)
Preview
calc.cos()->

angle
Required
Required
Required parameters must be specified when calling the function.
Positional
Positional
Positional parameters can be set by specifying them in order, omitting the parameter name.

The angle whose cosine to calculate.

tan

Calculates the tangent of an angle.

When called with an integer or a float, they will be interpreted as radians.

#calc.tan(1.5) \
#calc.tan(90deg)
Preview
calc.tan()->

angle
Required
Required
Required parameters must be specified when calling the function.
Positional
Positional
Positional parameters can be set by specifying them in order, omitting the parameter name.

The angle whose tangent to calculate.

asin

Calculates the arcsine of a number.

#calc.asin(0) \
#calc.asin(1)
Preview
calc.asin()->

value
Required
Required
Required parameters must be specified when calling the function.
Positional
Positional
Positional parameters can be set by specifying them in order, omitting the parameter name.

The number whose arcsine to calculate. Must be between -1 and 1.

acos

Calculates the arccosine of a number.

#calc.acos(0) \
#calc.acos(1)
Preview
calc.acos()->

value
Required
Required
Required parameters must be specified when calling the function.
Positional
Positional
Positional parameters can be set by specifying them in order, omitting the parameter name.

The number whose arcsine to calculate. Must be between -1 and 1.

atan

Calculates the arctangent of a number.

#calc.atan(0) \
#calc.atan(1)
Preview
calc.atan()->

value
Required
Required
Required parameters must be specified when calling the function.
Positional
Positional
Positional parameters can be set by specifying them in order, omitting the parameter name.

The number whose arctangent to calculate.

atan2

Calculates the four-quadrant arctangent of a coordinate.

The arguments are (x, y), not (y, x).

#calc.atan2(1, 1) \
#calc.atan2(-2, -3)
Preview
calc.atan2()->

x
Required
Required
Required parameters must be specified when calling the function.
Positional
Positional
Positional parameters can be set by specifying them in order, omitting the parameter name.

The X coordinate.

y
Required
Required
Required parameters must be specified when calling the function.
Positional
Positional
Positional parameters can be set by specifying them in order, omitting the parameter name.

The Y coordinate.

sinh

Calculates the hyperbolic sine of a hyperbolic angle.

#calc.sinh(0) \
#calc.sinh(1.5)
Preview
calc.sinh()->

value
Required
Required
Required parameters must be specified when calling the function.
Positional
Positional
Positional parameters can be set by specifying them in order, omitting the parameter name.

The hyperbolic angle whose hyperbolic sine to calculate.

cosh

Calculates the hyperbolic cosine of a hyperbolic angle.

#calc.cosh(0) \
#calc.cosh(1.5)
Preview
calc.cosh()->

value
Required
Required
Required parameters must be specified when calling the function.
Positional
Positional
Positional parameters can be set by specifying them in order, omitting the parameter name.

The hyperbolic angle whose hyperbolic cosine to calculate.

tanh

Calculates the hyperbolic tangent of an hyperbolic angle.

#calc.tanh(0) \
#calc.tanh(1.5)
Preview
calc.tanh()->

value
Required
Required
Required parameters must be specified when calling the function.
Positional
Positional
Positional parameters can be set by specifying them in order, omitting the parameter name.

The hyperbolic angle whose hyperbolic tangent to calculate.

log

Calculates the logarithm of a number.

If the base is not specified, the logarithm is calculated in base 10.

#calc.log(100)
Preview

value
Required
Required
Required parameters must be specified when calling the function.
Positional
Positional
Positional parameters can be set by specifying them in order, omitting the parameter name.

The number whose logarithm to calculate. Must be strictly positive.

base

The base of the logarithm. May not be zero.

Default value:

10.0

ln

Calculates the natural logarithm of a number.

#calc.ln(calc.e)
Preview
calc.ln()->

value
Required
Required
Required parameters must be specified when calling the function.
Positional
Positional
Positional parameters can be set by specifying them in order, omitting the parameter name.

The number whose logarithm to calculate. Must be strictly positive.

fact

Calculates the factorial of a number.

#calc.fact(5)
Preview
calc.fact()->

number
Required
Required
Required parameters must be specified when calling the function.
Positional
Positional
Positional parameters can be set by specifying them in order, omitting the parameter name.

The number whose factorial to calculate. Must be non-negative.

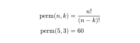
perm

Calculates a permutation.

Returns the k-permutation of n, or the number of ways to choose k items from a set of n with regard to order.

$ "perm"(n, k) &= n!/((n - k)!) \
  "perm"(5, 3) &= #calc.perm(5, 3) $
Preview
calc.perm()->

base
Required
Required
Required parameters must be specified when calling the function.
Positional
Positional
Positional parameters can be set by specifying them in order, omitting the parameter name.

The base number. Must be non-negative.

numbers
Required
Required
Required parameters must be specified when calling the function.
Positional
Positional
Positional parameters can be set by specifying them in order, omitting the parameter name.

The number of permutations. Must be non-negative.

binom

Calculates a binomial coefficient.

Returns the k-combination of n, or the number of ways to choose k items from a set of n without regard to order.

#calc.binom(10, 5)
Preview
calc.binom()->

n
Required
Required
Required parameters must be specified when calling the function.
Positional
Positional
Positional parameters can be set by specifying them in order, omitting the parameter name.

The upper coefficient. Must be non-negative.

k
Required
Required
Required parameters must be specified when calling the function.
Positional
Positional
Positional parameters can be set by specifying them in order, omitting the parameter name.

The lower coefficient. Must be non-negative.

gcd

Calculates the greatest common divisor of two integers.

#calc.gcd(7, 42)
Preview
calc.gcd()->

a
Required
Required
Required parameters must be specified when calling the function.
Positional
Positional
Positional parameters can be set by specifying them in order, omitting the parameter name.

The first integer.

b
Required
Required
Required parameters must be specified when calling the function.
Positional
Positional
Positional parameters can be set by specifying them in order, omitting the parameter name.

The second integer.

lcm

Calculates the least common multiple of two integers.

#calc.lcm(96, 13)
Preview
calc.lcm()->

a
Required
Required
Required parameters must be specified when calling the function.
Positional
Positional
Positional parameters can be set by specifying them in order, omitting the parameter name.

The first integer.

b
Required
Required
Required parameters must be specified when calling the function.
Positional
Positional
Positional parameters can be set by specifying them in order, omitting the parameter name.

The second integer.

floor

Rounds a number down to the nearest integer.

If the number is already an integer, it is returned unchanged.

Note that this function will always return an integer, and will error if the resulting float or decimal is larger than the maximum 64-bit signed integer or smaller than the minimum for that type.

#calc.floor(500.1)
#assert(calc.floor(3) == 3)
#assert(calc.floor(3.14) == 3)
#assert(calc.floor(decimal("-3.14")) == -4)
Preview
calc.floor()->

value
Required
Required
Required parameters must be specified when calling the function.
Positional
Positional
Positional parameters can be set by specifying them in order, omitting the parameter name.

The number to round down.

ceil

Rounds a number up to the nearest integer.

If the number is already an integer, it is returned unchanged.

Note that this function will always return an integer, and will error if the resulting float or decimal is larger than the maximum 64-bit signed integer or smaller than the minimum for that type.

#calc.ceil(500.1)
#assert(calc.ceil(3) == 3)
#assert(calc.ceil(3.14) == 4)
#assert(calc.ceil(decimal("-3.14")) == -3)
Preview
calc.ceil()->

value
Required
Required
Required parameters must be specified when calling the function.
Positional
Positional
Positional parameters can be set by specifying them in order, omitting the parameter name.

The number to round up.

trunc

Returns the integer part of a number.

If the number is already an integer, it is returned unchanged.

Note that this function will always return an integer, and will error if the resulting float or decimal is larger than the maximum 64-bit signed integer or smaller than the minimum for that type.

#calc.trunc(15.9)
#assert(calc.trunc(3) == 3)
#assert(calc.trunc(-3.7) == -3)
#assert(calc.trunc(decimal("8493.12949582390")) == 8493)
Preview
calc.trunc()->

value
Required
Required
Required parameters must be specified when calling the function.
Positional
Positional
Positional parameters can be set by specifying them in order, omitting the parameter name.

The number to truncate.

fract

Returns the fractional part of a number.

If the number is an integer, returns 0.

#calc.fract(-3.1)
#assert(calc.fract(3) == 0)
#assert(calc.fract(decimal("234.23949211")) == decimal("0.23949211"))
Preview

value
Required
Required
Required parameters must be specified when calling the function.
Positional
Positional
Positional parameters can be set by specifying them in order, omitting the parameter name.

The number to truncate.

round

Rounds a number to the nearest integer away from zero.

Optionally, a number of decimal places can be specified.

If the number of digits is negative, its absolute value will indicate the amount of significant integer digits to remove before the decimal point.

Note that this function will return the same type as the operand. That is, applying round to a float will return a float, and to a decimal, another decimal. You may explicitly convert the output of this function to an integer with int, but note that such a conversion will error if the float or decimal is larger than the maximum 64-bit signed integer or smaller than the minimum integer.

In addition, this function can error if there is an attempt to round beyond the maximum or minimum integer or decimal. If the number is a float, such an attempt will cause float.inf or -float.inf to be returned for maximum and minimum respectively.

#calc.round(3.1415, digits: 2)
#assert(calc.round(3) == 3)
#assert(calc.round(3.14) == 3)
#assert(calc.round(3.5) == 4.0)
#assert(calc.round(3333.45, digits: -2) == 3300.0)
#assert(calc.round(-48953.45, digits: -3) == -49000.0)
#assert(calc.round(3333, digits: -2) == 3300)
#assert(calc.round(-48953, digits: -3) == -49000)
#assert(calc.round(decimal("-6.5")) == decimal("-7"))
#assert(calc.round(decimal("7.123456789"), digits: 6) == decimal("7.123457"))
#assert(calc.round(decimal("3333.45"), digits: -2) == decimal("3300"))
#assert(calc.round(decimal("-48953.45"), digits: -3) == decimal("-49000"))
Preview

value
Required
Required
Required parameters must be specified when calling the function.
Positional
Positional
Positional parameters can be set by specifying them in order, omitting the parameter name.

The number to round.

digits

If positive, the number of decimal places.

If negative, the number of significant integer digits that should be removed before the decimal point.

Default value:

0

clamp

Clamps a number between a minimum and maximum value.

#calc.clamp(5, 0, 4)
#assert(calc.clamp(5, 0, 10) == 5)
#assert(calc.clamp(5, 6, 10) == 6)
#assert(calc.clamp(decimal("5.45"), 2, decimal("45.9")) == decimal("5.45"))
#assert(calc.clamp(decimal("5.45"), decimal("6.75"), 12) == decimal("6.75"))
Preview

value
Required
Required
Required parameters must be specified when calling the function.
Positional
Positional
Positional parameters can be set by specifying them in order, omitting the parameter name.

The number to clamp.

min
Required
Required
Required parameters must be specified when calling the function.
Positional
Positional
Positional parameters can be set by specifying them in order, omitting the parameter name.

The inclusive minimum value.

max
Required
Required
Required parameters must be specified when calling the function.
Positional
Positional
Positional parameters can be set by specifying them in order, omitting the parameter name.

The inclusive maximum value.

min

Determines the minimum of a sequence of values.

#calc.min(1, -3, -5, 20, 3, 6) \
#calc.min("typst", "is", "cool")
Preview
calc.min(
any
)->
any

values
any
Required
Required
Required parameters must be specified when calling the function.
Positional
Positional
Positional parameters can be set by specifying them in order, omitting the parameter name.
Variadic
Variadic
Variadic parameters can be specified multiple times.

The sequence of values from which to extract the minimum. Must not be empty.

max

Determines the maximum of a sequence of values.

#calc.max(1, -3, -5, 20, 3, 6) \
#calc.max("typst", "is", "cool")
Preview
calc.max(
any
)->
any

values
any
Required
Required
Required parameters must be specified when calling the function.
Positional
Positional
Positional parameters can be set by specifying them in order, omitting the parameter name.
Variadic
Variadic
Variadic parameters can be specified multiple times.

The sequence of values from which to extract the maximum. Must not be empty.

even

Determines whether an integer is even.

#calc.even(4) \
#calc.even(5) \
#range(10).filter(calc.even)
Preview
calc.even()->

value
Required
Required
Required parameters must be specified when calling the function.
Positional
Positional
Positional parameters can be set by specifying them in order, omitting the parameter name.

The number to check for evenness.

odd

Determines whether an integer is odd.

#calc.odd(4) \
#calc.odd(5) \
#range(10).filter(calc.odd)
Preview
calc.odd()->

value
Required
Required
Required parameters must be specified when calling the function.
Positional
Positional
Positional parameters can be set by specifying them in order, omitting the parameter name.

The number to check for oddness.

rem

Calculates the remainder of two numbers.

The value calc.rem(x, y) always has the same sign as x, and is smaller in magnitude than y.

This can error if given a decimal input and the dividend is too small in magnitude compared to the divisor.

#calc.rem(7, 3) \
#calc.rem(7, -3) \
#calc.rem(-7, 3) \
#calc.rem(-7, -3) \
#calc.rem(1.75, 0.5)
Preview

dividend
Required
Required
Required parameters must be specified when calling the function.
Positional
Positional
Positional parameters can be set by specifying them in order, omitting the parameter name.

The dividend of the remainder.

divisor
Required
Required
Required parameters must be specified when calling the function.
Positional
Positional
Positional parameters can be set by specifying them in order, omitting the parameter name.

The divisor of the remainder.

div-euclid

Performs euclidean division of two numbers.

The result of this computation is that of a division rounded to the integer n such that the dividend is greater than or equal to n times the divisor.

#calc.div-euclid(7, 3) \
#calc.div-euclid(7, -3) \
#calc.div-euclid(-7, 3) \
#calc.div-euclid(-7, -3) \
#calc.div-euclid(1.75, 0.5) \
#calc.div-euclid(decimal("1.75"), decimal("0.5"))
Preview

dividend
Required
Required
Required parameters must be specified when calling the function.
Positional
Positional
Positional parameters can be set by specifying them in order, omitting the parameter name.

The dividend of the division.

divisor
Required
Required
Required parameters must be specified when calling the function.
Positional
Positional
Positional parameters can be set by specifying them in order, omitting the parameter name.

The divisor of the division.

rem-euclid

This calculates the least nonnegative remainder of a division.

Warning: Due to a floating point round-off error, the remainder may equal the absolute value of the divisor if the dividend is much smaller in magnitude than the divisor and the dividend is negative. This only applies for floating point inputs.

In addition, this can error if given a decimal input and the dividend is too small in magnitude compared to the divisor.

#calc.rem-euclid(7, 3) \
#calc.rem-euclid(7, -3) \
#calc.rem-euclid(-7, 3) \
#calc.rem-euclid(-7, -3) \
#calc.rem-euclid(1.75, 0.5) \
#calc.rem-euclid(decimal("1.75"), decimal("0.5"))
Preview

dividend
Required
Required
Required parameters must be specified when calling the function.
Positional
Positional
Positional parameters can be set by specifying them in order, omitting the parameter name.

The dividend of the remainder.

divisor
Required
Required
Required parameters must be specified when calling the function.
Positional
Positional
Positional parameters can be set by specifying them in order, omitting the parameter name.

The divisor of the remainder.

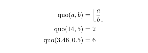
quo

Calculates the quotient (floored division) of two numbers.

Note that this function will always return an integer, and will error if the resulting float or decimal is larger than the maximum 64-bit signed integer or smaller than the minimum for that type.

$ "quo"(a, b) &= floor(a/b) \
  "quo"(14, 5) &= #calc.quo(14, 5) \
  "quo"(3.46, 0.5) &= #calc.quo(3.46, 0.5) $
Preview

dividend
Required
Required
Required parameters must be specified when calling the function.
Positional
Positional
Positional parameters can be set by specifying them in order, omitting the parameter name.

The dividend of the quotient.

divisor
Required
Required
Required parameters must be specified when calling the function.
Positional
Positional
Positional parameters can be set by specifying them in order, omitting the parameter name.

The divisor of the quotient.

norm

Calculates the p-norm of a sequence of values.

#calc.norm(1, 2, -3, 0.5) \
#calc.norm(p: 3, 1, 2)
Preview
calc.norm()->

p

The p value to calculate the p-norm of.

Default value:

2.0

values
Required
Required
Required parameters must be specified when calling the function.
Positional
Positional
Positional parameters can be set by specifying them in order, omitting the parameter name.
Variadic
Variadic
Variadic parameters can be specified multiple times.

The sequence of values from which to calculate the p-norm. Returns 0.0 if empty.

Open official docs

Search